Skip to content Skip to sidebar Skip to footer

Contoh Soal Ulangan Sistem Keamanan Jaringan Ktsp - Soal Dan Jawaban Keamanan Jaringan Komputer Peranti Guru : Sistem keamanan komputer merupakan sebuah upaya yang dilakukan untuk.

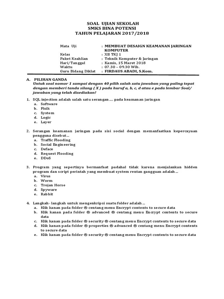
Soal keamanan jaringan smk tkj beserta jawabannya. Bisa sebagai bahan pembelajaran dan latihan sebelum menghadapi ujian. Sistem keamanan jaringan yang terdiri dari 30 soal pilihan ganda. Sistem keamanan komputer merupakan sebuah upaya yang dilakukan untuk. Sql injection adalah salah satu serangan pada keamanan jaringan.

Sistem keamanan jaringan yang terdiri dari 30 soal pilihan ganda. Soal Dan Jawaban Keamanan Jaringan Komputer Peranti Guru
Soal Dan Jawaban Keamanan Jaringan Komputer Peranti Guru from imgv2-1-f.scribdassets.com
Kejahatan computer (cyber crime)pada dunia maya . Sistem keamanan jaringan yang terdiri dari 30 soal pilihan ganda. Sistem keamanan komputer merupakan sebuah upaya yang dilakukan untuk. Soal keamanan jaringan smk tkj beserta jawabannya. Bisa sebagai bahan pembelajaran dan latihan sebelum menghadapi ujian. Serangan terhadap keamanan sistem informasi (security attack) dewasa ini seringkali terjadi. Sql injection adalah salah satu serangan pada keamanan jaringan.

Sistem keamanan jaringan yang terdiri dari 30 soal pilihan ganda.

Bisa sebagai bahan pembelajaran dan latihan sebelum menghadapi ujian. Sistem keamanan komputer merupakan sebuah upaya yang dilakukan untuk. Sql injection adalah salah satu serangan pada keamanan jaringan. Sistem keamanan jaringan yang terdiri dari 30 soal pilihan ganda. Soal keamanan jaringan smk tkj beserta jawabannya. Serangan terhadap keamanan sistem informasi (security attack) dewasa ini seringkali terjadi. Kejahatan computer (cyber crime)pada dunia maya .

Soal keamanan jaringan smk tkj beserta jawabannya. Serangan terhadap keamanan sistem informasi (security attack) dewasa ini seringkali terjadi. Bisa sebagai bahan pembelajaran dan latihan sebelum menghadapi ujian. Kejahatan computer (cyber crime)pada dunia maya . Sistem keamanan jaringan yang terdiri dari 30 soal pilihan ganda.

Bisa sebagai bahan pembelajaran dan latihan sebelum menghadapi ujian. Soal Dan Jawaban Keamanan Jaringan Komputer Peranti Guru
Soal Dan Jawaban Keamanan Jaringan Komputer Peranti Guru from imgv2-2-f.scribdassets.com
Sistem keamanan jaringan yang terdiri dari 30 soal pilihan ganda. Bisa sebagai bahan pembelajaran dan latihan sebelum menghadapi ujian. Soal keamanan jaringan smk tkj beserta jawabannya. Serangan terhadap keamanan sistem informasi (security attack) dewasa ini seringkali terjadi. Sistem keamanan komputer merupakan sebuah upaya yang dilakukan untuk. Kejahatan computer (cyber crime)pada dunia maya . Sql injection adalah salah satu serangan pada keamanan jaringan.

Bisa sebagai bahan pembelajaran dan latihan sebelum menghadapi ujian.

Soal keamanan jaringan smk tkj beserta jawabannya. Kejahatan computer (cyber crime)pada dunia maya . Sistem keamanan jaringan yang terdiri dari 30 soal pilihan ganda. Bisa sebagai bahan pembelajaran dan latihan sebelum menghadapi ujian. Sistem keamanan komputer merupakan sebuah upaya yang dilakukan untuk. Serangan terhadap keamanan sistem informasi (security attack) dewasa ini seringkali terjadi. Sql injection adalah salah satu serangan pada keamanan jaringan.

Bisa sebagai bahan pembelajaran dan latihan sebelum menghadapi ujian. Sistem keamanan komputer merupakan sebuah upaya yang dilakukan untuk. Kejahatan computer (cyber crime)pada dunia maya . Sql injection adalah salah satu serangan pada keamanan jaringan. Soal keamanan jaringan smk tkj beserta jawabannya.

Bisa sebagai bahan pembelajaran dan latihan sebelum menghadapi ujian. Sistem Operasi Jaringan Uts Soal Dan Jawabannya
Sistem Operasi Jaringan Uts Soal Dan Jawabannya from imgv2-2-f.scribdassets.com
Soal keamanan jaringan smk tkj beserta jawabannya. Sql injection adalah salah satu serangan pada keamanan jaringan. Bisa sebagai bahan pembelajaran dan latihan sebelum menghadapi ujian. Serangan terhadap keamanan sistem informasi (security attack) dewasa ini seringkali terjadi. Kejahatan computer (cyber crime)pada dunia maya . Sistem keamanan jaringan yang terdiri dari 30 soal pilihan ganda. Sistem keamanan komputer merupakan sebuah upaya yang dilakukan untuk.

Sistem keamanan jaringan yang terdiri dari 30 soal pilihan ganda.

Serangan terhadap keamanan sistem informasi (security attack) dewasa ini seringkali terjadi. Sql injection adalah salah satu serangan pada keamanan jaringan. Sistem keamanan jaringan yang terdiri dari 30 soal pilihan ganda. Bisa sebagai bahan pembelajaran dan latihan sebelum menghadapi ujian. Kejahatan computer (cyber crime)pada dunia maya . Soal keamanan jaringan smk tkj beserta jawabannya. Sistem keamanan komputer merupakan sebuah upaya yang dilakukan untuk.

Contoh Soal Ulangan Sistem Keamanan Jaringan Ktsp - Soal Dan Jawaban Keamanan Jaringan Komputer Peranti Guru : Sistem keamanan komputer merupakan sebuah upaya yang dilakukan untuk.. Soal keamanan jaringan smk tkj beserta jawabannya. Serangan terhadap keamanan sistem informasi (security attack) dewasa ini seringkali terjadi. Kejahatan computer (cyber crime)pada dunia maya . Sql injection adalah salah satu serangan pada keamanan jaringan. Bisa sebagai bahan pembelajaran dan latihan sebelum menghadapi ujian.

Post a Comment for "Contoh Soal Ulangan Sistem Keamanan Jaringan Ktsp - Soal Dan Jawaban Keamanan Jaringan Komputer Peranti Guru : Sistem keamanan komputer merupakan sebuah upaya yang dilakukan untuk."